烟台海岸带所在湿地水鸟栖息地利用研究方面取得新进展
掌握湿地水鸟在不同生活史阶段的活动规律及其对生境的利用特征,对于水鸟及栖息地保护具有重要意义。近日,中国科学院烟台海岸带研究所海岸带资源环境遥感与风险评估研究组(侯西勇研究团队)对湿地水鸟(反嘴鹬)进行卫星追踪,结合多源遥感数据及空间分析方法,解析了反嘴鹬个体的活动规律、家域范围及栖息地偏好。
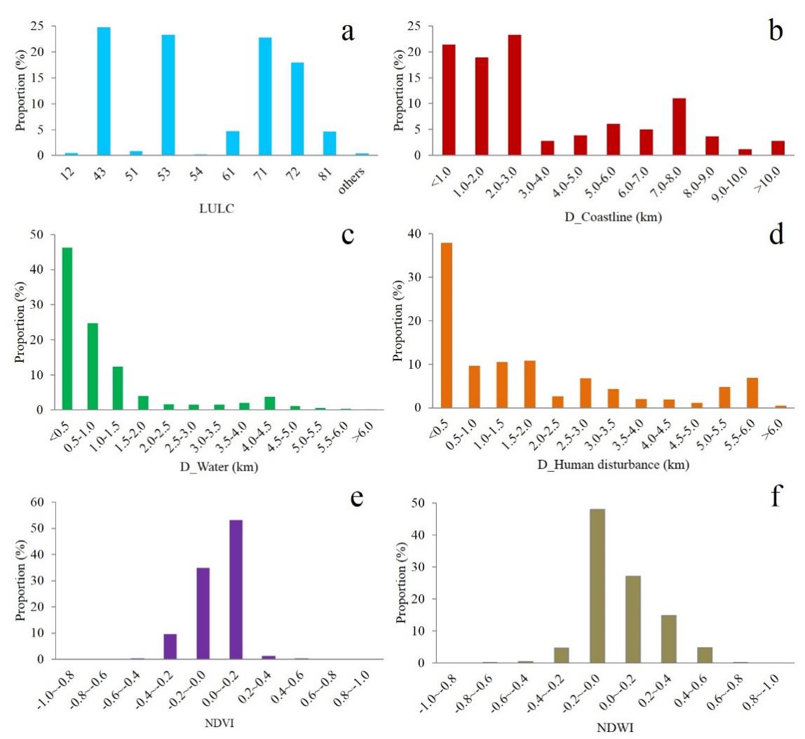
研究结果显示:(1)来自同一繁殖地的反嘴鹬个体的越冬地各异,其分布范围南北跨越达11个纬度。(2)追踪个体对繁殖地与越冬地均表现出较高的栖息地忠诚度,且在繁殖期与越冬期内的活动范围均较为集中。(3)该物种偏好选择地势平坦、植被覆盖度低的浅水型低洼生境,其栖息地以盐田、水产养殖塘、稻田等人工湿地为主要土地利用类型。研究进一步强调,在自然湿地大量丧失和退化的背景下,人工湿地作为水鸟的重要替代性栖息地,急需得到重视。本研究可为水鸟栖息地保护与湿地资源可持续利用提供数据支撑与方法参考,具有较强的实践指导意义。


图2 反嘴鹬追踪个体(PA01)迁徙路线及其在越冬地的生境类型

图3 反嘴鹬追踪个体在繁殖地的生境偏好特征
相关研究成果发表在《Ecology and Evolution》《Wetlands Ecology and Management》《生态学报》等期刊。研究得到了国家自然科学基金、烟台海岸带所前沿部署项目和中国科学院黄河三角洲滨海湿地生态试验站开放课题等科研项目的资助。
成果信息:
Li Dong, Hou Xiyong*, Liu Kai, Gao Yingxu, Wu Yang. Combining satellite tracking and remote sensing to identify activity pattern and habitat selection of coastal shorebirds: a case study of Pied Avocets in Bohai Bay, China. Ecology and Evolution, 2025, 15 (3): e71143.
Li Dong, Hou Xiyong*, Liu Kai. Analysis on the wintering habitat use of waterbird Pied Avocet based on geo-tracking and remote sensing technology. Wetlands Ecology and Management, 2026, 34: 18.
高映旭, 李东, 张雪莹, 侯西勇*. 基于卫星追踪和遥感技术的反嘴鹬越冬期生境特征分析.生态学报, 2025, 45(21): 10783-10794.
附件下载: